Званична интернет презентација Општинe Рогатица
Facebook
Instagram
You Tube
latinica
НАСЛОВНА
ВИЈЕСТИ
Сервисне информације
Обавјештење о радном времену на подручју општине Рогатица за вријеме васкршњих и првомајских празника за 2026. годину
Спорт
Вук Ћајић – Најборбенији меч турнира у Градишци
Спорт
Бронза са Златибора за Вука Ћајића
Дешавања
Одржана презентација Правилника о условима и начину остваривања новчаних подстицаја за развој пољопривреде и села за 2026. годину
Спорт
Спорт: Нове медаље џудиста и каратиста
Дешавања
Дванаестогодишњи Лука Перишић први допливао до Часног крста у Рогатици
О РОГАТИЦИ
НАЧЕЛНИК
СКУПШТИНА
Предсједник Скупштине општине
Потпредсједник Скупштине општине
Секретар Скупштине општине
Одборници
ОДЈЕЉЕЊА
Одјељење за општу управу
Одјељење за управљање локалним развојем, привреду и друштвене дјелатности
Одјељење за просторно уређење и стамбено-комуналне послове
Одјељење за финансије
Одјељење за инспекцијске послове и послове комуналне полиције
ДОКУМЕНТИ
Статут и пословник
Обрасци
Службени гласници Општине Рогатица
Стратешки документи
Jaвне набавке
Контакт
ReLOaD
НВО СЕКТОР
АКТУЕЛНОСТИ
НВО ДОКУМЕНТИ
КОНТАКТ
Опште
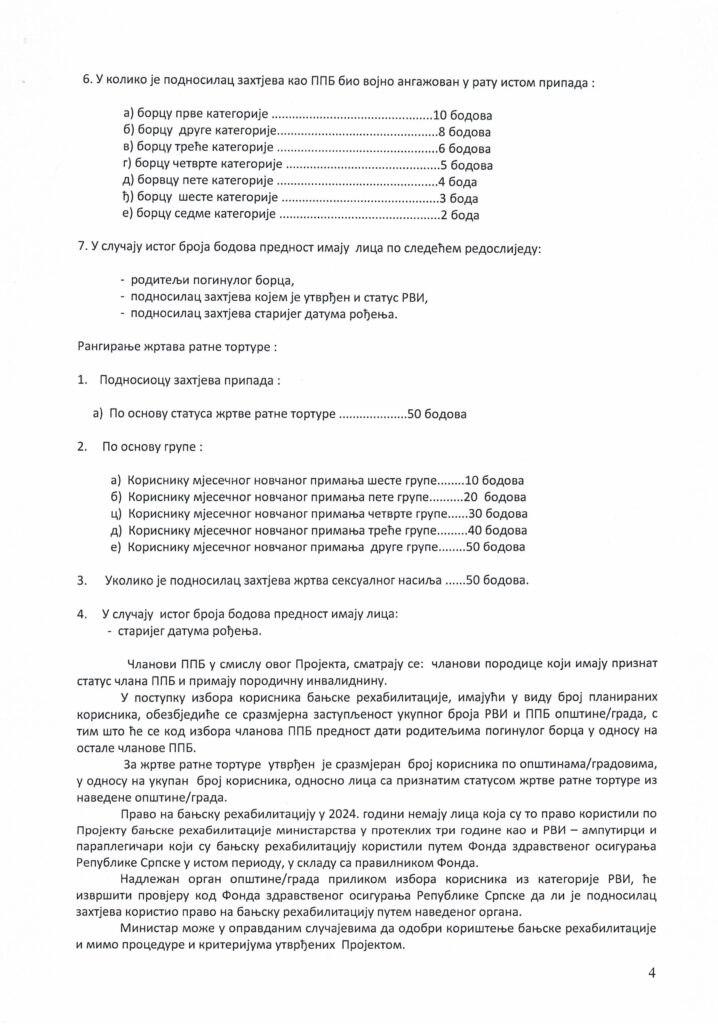
Јавни позив за подношење захтјева ради упућивања до 750 ратних војних инвалида, чланова породица погинулих бораца и жртава ратне тортуре у бањско-климатске здравствене установе
Опште
Јавни позив за подношење захтјева ради упућивања до 750 ратних војних инвалида, чланова породица погинулих бораца и жртава ратне тортуре у бањско-климатске здравствене установе
02/04/2024
Last modified: 02/04/2024
Comments are closed.
ВАША ОПШТИНА
Матичар
О Рогатици
Кабинет начелника општине
Контакти
КАТЕГОРИЈЕ
Култура
Сервисне информације
Дешавања
Спорт
Опште